测定方法概述
定义:含水率指煤中水分占总质量的百分比,影响燃烧效率、运输成本及储存稳定性。
常用方法:干燥法(烘箱法)为主,依据国家标准如GB/T 211-2017(全水分)和GB/T 212-2008(工业分析)。
详细步骤
样品制备:
破碎:将煤样破碎至规定粒度(如<6mm或<0.2mm),确保均匀性。
分样:使用四分法缩分样品,减少误差。
称量初始质量:
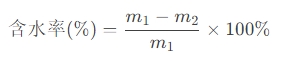
使用分析天平(精度0.0001g)称取适量样品(通常10-15g),记录质量(m_1m1)。
干燥过程:
温度控制:将样品放入烘箱,设定105-110℃(全水分测定)或40-45℃(外在水分预干燥)。
时间:干燥1-2小时至恒重(连续两次称量差≤0.001g)。
冷却与称量:
干燥后样品置于干燥器中冷却至室温,迅速称量干燥后质量(m_2m2)。
计算含水率:

关键注意事项
样品处理:避免环境湿度干扰,尽快测定或密封保存。
干燥温度:防止过高温度导致煤样分解(如褐煤需控制温度)。
重复性:至少两次平行试验,结果偏差需在标准允许范围内(如全水分≤0.4%)。
水分类型:区分外在水分(表面水)与内在水分(吸附水),全水分需分阶段测定。
误差控制
仪器校准:定期校准烘箱和天平。
操作环境:在恒温恒湿实验室操作,缩短冷却称量时间。
标准遵循:严格按GB/T或ASTM标准执行,如ASTM D3302可能规定不同参数。
来源:网络
NEWS
新闻动态service
行业解决方案