抗弯强度(Flexural
Strength)是材料在弯曲载荷下抵抗断裂的能力,广泛应用于金属、陶瓷、塑料、复合材料及混凝土等材料的力学性能评价。以下是抗弯强度检测的详细方法及要点:
一、检测标准
根据不同材料类型,常用标准如下:
金属材料:ASTM E290(三点弯曲)、ISO 7438
陶瓷材料:ASTM C1161、GB/T 6569
塑料/复合材料:ASTM D790、ISO 178
混凝土:GB/T 50081、ASTM C78(四点弯曲)
二、测试方法
1. 三点弯曲试验
原理:试样跨距中点施加集中载荷,直至断裂。
公式(矩形截面):

σf:抗弯强度(MPa)
FF:断裂载荷(N)
LL:跨距(mm)
bb:试样宽度(mm)
hh:试样厚度(mm)
适用场景:脆性材料(陶瓷、混凝土)或小尺寸试样。
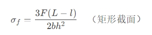
2. 四点弯曲试验
原理:试样在两个对称点加载,中间段形成纯弯曲。
公式:

l:加载点间距(mm)
优点:避免剪切应力干扰,适合韧性材料(如塑料、复合材料)。
三、操作步骤
试样制备
尺寸要求:
金属/塑料:通常为长80mm×宽10mm×厚4mm(跨距/厚度比≥16:1)。
陶瓷:长36mm×宽4mm×厚3mm(跨距30mm)。
加工要求:表面无划痕,边缘倒角避免应力集中。
设备校准
万能材料试验机(精度±1%)、弯曲夹具、位移传感器。
跨距按标准设定(如塑料试样跨距通常为16×厚度)。
测试过程
将试样对称放置于支撑辊上。
以恒定速率加载(如塑料2 mm/min,陶瓷0.5 mm/min)。
记录载荷-位移曲线,直至试样断裂。
数据处理
从曲线中提取z大载荷FF,代入公式计算抗弯强度。
若试样未断裂,取z大应变5%时的应力为“弯曲强度”。
四、注意事项
试样选择
各向异性材料(如木材、复合材料)需注明测试方向(平行/垂直纹理)。
每组至少测试5个试样,取平均值。
加载速率
速率过快会导致结果偏高(脆性材料尤其敏感)。
环境控制
温度/湿度影响显著(如塑料需在23±2℃、50%RH下调节48小时)。
误差来源
试样不对中、夹具摩擦、跨距测量不准。
五、应用示例
陶瓷材料:三点弯曲测试,跨距30mm,加载速率0.5 mm/min,断裂载荷500N → 抗弯强度≈150 MPa。
塑料薄膜:四点弯曲,跨距64mm,z大载荷10N → 抗弯强度≈80 MPa。
六、与抗拉强度对比

来源:网络
NEWS
新闻动态service
行业解决方案