测定土壤中的硫酸根离子(SO₄²⁻)是土壤理化分析的重要项目之一,常见于农业、环境监测和地质研究。以下是常用的测定方法及步骤,供参考:
一、常用测定方法
1. 硫酸钡重量法(经典方法)
原理:
土壤浸提液中的SO₄²⁻与氯化钡(BaCl₂)反应生成硫酸钡(BaSO₄)沉淀,通过称量沉淀质量计算SO₄²⁻含量。
优点:准确性高,适用于高浓度样品。
缺点:操作繁琐,耗时较长。
步骤:
样品前处理:
称取风干土样(过2mm筛),用去离子水或稀盐酸(1:5)浸提,振荡后过滤。
沉淀反应:
取滤液,加HCl酸化至微酸性(防止碳酸盐干扰),煮沸后缓慢加入过量BaCl₂溶液,生成白色BaSO₄沉淀。
沉淀处理:
将沉淀过滤、洗涤(至无Cl⁻)、烘干,并在高温炉(600℃)中灼烧至恒重。
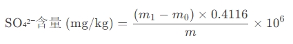
计算:

m1:沉淀+坩埚质量(g)
m_0m0:空坩埚质量(g)
mm:土样质量(g)
0.4116:BaSO₄换算为SO₄²⁻的系数。
2. 离子色谱法(推荐方法)
原理:
利用离子色谱仪分离土壤浸提液中的阴离子(SO₄²⁻、Cl⁻、NO₃⁻等),通过电导检测器定量分析。
优点:快速、灵敏度高,可同时测定多种离子。
缺点:需专用仪器,成本较高。
步骤:
浸提:
土样与去离子水(或0.01M CaCl₂溶液)按比例混合,振荡后离心过滤。
仪器分析:
滤液经0.45μm滤膜过滤后进样,根据保留时间定性,峰面积定量。
校准曲线:
用标准SO₄²⁻溶液绘制校准曲线,计算样品浓度。
3. 分光光度法(铬酸钡比色法)
原理:
在酸性条件下,SO₄²⁻与铬酸钡悬浊液反应置换出铬酸根(CrO₄²⁻),通过比色法测定CrO₄²⁻吸光度。
优点:设备简单,适合常规实验室。
缺点:易受其他阴离子干扰。
步骤:
显色反应:
样品液加铬酸钡悬浊液和氨水,离心后取上清液(含CrO₄²⁻)。
测定吸光度:
在420nm波长下测定吸光度,对照标准曲线计算SO₄²⁻浓度。
二、注意事项
样品前处理:
若土壤有机质含量高,需用H₂O₂氧化处理。
浸提液pH需调节至中性,避免金属离子干扰。
干扰消除:
碳酸根(CO₃²⁻):酸化去除。
磷酸根(PO₄³⁻):可加入CaCl₂沉淀。
质量控制:
做空白试验、平行样和加标回收率(建议80%~120%)。
三、方法选择建议
高精度需求:重量法(如科研、仲裁分析)。
批量样品快速检测:离子色谱法或分光光度法。
现场快速筛查:便携式离子选择电极法。
来源:网络
NEWS
新闻动态service
行业解决方案