土壤无机磷形态的分级测定是研究土壤磷素有效性、迁移转化及环境行为的重要手段。不同形态的无机磷(如钙结合态磷、铁铝结合态磷、闭蓄态磷等)对植物吸收和环境影响差异显著。以下是常用的分级测定方法及步骤:
一、经典分级方法(张守敬-Jackson法)
原理:
通过连续化学浸提法,利用不同提取剂选择性溶解土壤中不同形态的无机磷,包括水溶性磷、铝结合态磷(Al-P)、铁结合态磷(Fe-P)、钙结合态磷(Ca-P)和闭蓄态磷(Occluded-P)。
分级步骤:
水溶性磷(H2O-P)
操作:取新鲜土样(或风干土样)与去离子水按1:10(土:水)混合,振荡1小时,离心过滤,测定滤液中磷含量。
适用性:反映短期可被植物直接吸收的磷。
铝结合态磷(Al-P)
提取剂:0.5 mol/L NH4F(pH 7.0)。
操作:残渣加入NH4F溶液,振荡1小时,离心过滤,测定磷。
原理:NH4F溶解铝氧化物结合的磷。
铁结合态磷(Fe-P)
提取剂:0.1 mol/L NaOH。
操作:残渣加入NaOH溶液,振荡24小时,离心过滤,酸化后测定磷。
原理:NaOH溶解铁氧化物结合的磷。
钙结合态磷(Ca-P)
提取剂:1 mol/L HCl。
操作:残渣加入HCl溶液,振荡1小时,离心过滤,测定磷。
原理:HCl溶解钙磷酸盐(如磷灰石)。
闭蓄态磷(Occluded-P)
提取剂:浓HCl(或连二亚硫酸钠-柠檬酸钠-碳酸氢钠(DCB)溶液)。
操作:残渣用DCB溶液(pH 7.0)提取,去除氧化铁包被后测定残留磷。
原理:溶解氧化铁包被释放被封闭的磷。
二、改进方法(Hedley连续分级法)
原理:
基于土壤磷的生物有效性分级,区分活性磷(树脂交换态、NaHCO3提取态)、中等活性磷(NaOH提取态)和稳定态磷(HCl提取态)。
分级步骤:
树脂交换态磷
提取剂:阴离子交换树脂膜。
操作:土样与树脂膜共同振荡16小时,测定树脂吸附的磷。
意义:代表植物z易吸收的速效磷。
NaHCO3提取态磷(活性无机磷)
提取剂:0.5 mol/L NaHCO3(pH 8.5)。
操作:振荡30分钟,离心过滤,滤液酸化后测定磷。
意义:与有机质结合的活性磷。
NaOH提取态磷(Fe/Al-P)
提取剂:0.1 mol/L NaOH。
操作:振荡16小时,离心过滤,滤液酸化后测定磷。
意义:铁、铝氧化物结合的磷。
HCl提取态磷(Ca-P)
提取剂:1 mol/L HCl。
操作:振荡16小时,离心过滤,直接测定磷。
意义:钙磷酸盐矿物中的稳定态磷。
残余态磷
操作:残渣高温灰化(550℃)后用浓H2SO4消解,测定总磷。
意义:高度稳定的矿物态磷。
三、测定方法(钼锑抗比色法)
通用步骤:
1、显色反应:
取浸提液,加入钼酸铵-硫酸溶液和抗坏血酸,生成磷钼蓝。
2、比色测定:
在700 nm波长下测定吸光度,对照标准曲线计算磷浓度。
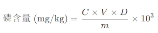
3、计算公式:

C:标准曲线查得浓度(mg/L)
VV:提取液体积(mL)
DD:稀释倍数
mm:土样质量(g)
四、注意事项
样品前处理:
土样需风干、研磨过筛(0.15 mm),避免高温烘干破坏磷形态。
新鲜土样需冷藏保存,防止微生物活动改变磷形态。
干扰控制:
有机磷干扰:对需测无机磷的步骤,可加入活性炭吸附或离心去除。
提取剂残留:每步离心后需充分洗涤残渣,避免交叉污染。
质量控制:
空白试验:每批样品做提取剂空白。
标准物质:使用标准土壤样品验证方法准确性。
五、方法选择建议
农业土壤:优先采用Hedley法,区分生物有效磷和稳定态磷。
酸性土壤:关注Fe-P、Al-P(NaOH提取态);石灰性土壤:关注Ca-P(HCl提取态)。
研究需求:结合同位素标记或同步辐射技术(如XANES)进行形态精准分析。
来源:网络
NEWS
新闻动态service
行业解决方案