土壤化学需氧量(COD)的测定是评估土壤中有机污染物含量的重要方法,通常采用重铬酸钾法(K₂Cr₂O₇法)。以下是详细步骤:

1. 实验原理
在强酸性条件下,重铬酸钾(K₂Cr₂O₇)作为氧化剂,将土壤中的有机物质氧化,剩余的重铬酸钾用硫酸亚铁铵(FAS)滴定,通过消耗的重铬酸钾量计算化学需氧量(COD)。
2. 试剂与仪器
试剂:
重铬酸钾标准溶液(0.25 mol/L):准确称取12.258 g K₂Cr₂O₇(预先干燥),溶于蒸馏水,定容至1 L。
硫酸亚铁铵标准溶液(0.1 mol/L):称取39.2 g (NH₄)₂Fe(SO₄)₂·6H₂O,溶于蒸馏水,加入20 mL浓硫酸,定容至1 L。
浓硫酸(H₂SO₄):用于提供强酸性环境。
硫酸银(Ag₂SO₄):作为催化剂。
邻菲罗啉指示剂:用于滴定终点判断。
蒸馏水:用于稀释和清洗。
仪器:
回流装置(包括冷凝管和加热装置)
滴定管
锥形瓶
移液器
分析天平
恒温加热板
3. 实验步骤
3.1 样品处理
取1 g风干土壤样品(过2 mm筛),放入回流锥形瓶中。
加入10 mL重铬酸钾标准溶液(0.25 mol/L)和20 mL浓硫酸(含硫酸银)。
加入几粒沸石,连接回流冷凝管。
3.2 回流反应
加热回流2小时,使有机物质充分氧化。
冷却后,用蒸馏水冲洗冷凝管,将反应液转移至锥形瓶中,总体积约为100 mL。
3.3 滴定
加入2-3滴邻菲罗啉指示剂。
用硫酸亚铁铵标准溶液(0.1 mol/L)滴定,溶液颜色由黄色经蓝绿色变为红褐色即为终点。
记录消耗的硫酸亚铁铵体积(V₁)。
3.4 空白试验
用蒸馏水代替土壤样品,重复上述步骤。
记录空白试验消耗的硫酸亚铁铵体积(V₀)。
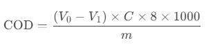
4. 结果计算
化学需氧量(COD)计算公式:

V0:空白试验消耗的硫酸亚铁铵体积(mL)
V_1V1:样品滴定消耗的硫酸亚铁铵体积(mL)
CC:硫酸亚铁铵标准溶液浓度(mol/L)
88:氧的摩尔质量(g/mol)
mm:土壤样品质量(g)
单位:mg/kg(每千克土壤消耗的氧量)。
5. 注意事项
样品均匀性:土壤样品需充分混匀,避免误差。
回流时间:确保回流时间充足,使有机物质完全氧化。
滴定终点:准确判断滴定终点,避免过量滴定。
试剂纯度:使用高纯度试剂,避免杂质干扰。
安全防护:浓硫酸和重铬酸钾具有强腐蚀性和毒性,实验时需佩戴防护装备。
6. 应用
土壤化学需氧量的测定可用于:
评估土壤有机污染程度
监测土壤修复效果
研究土壤有机质分解过程
农业土壤健康评估
来源:网络
NEWS
新闻动态service
行业解决方案