石墨件的灰分检测是评估其纯度和杂质含量的重要手段,广泛应用于高纯石墨、电极材料、核石墨、半导体用石墨、锂电池负极材料等领域。灰分(Ash Content)是指石墨在高温灼烧后残留的无机氧化物质量占原始样品质量的百分比,反映了其中金属及非金属杂质的总量。
标准检测方法
1. 高温灼烧法(重量法)——常用
依据标准:
GB/T 3521-2023《石墨化学分析方法》
ASTM D2866 / ISO 1171(适用于碳材料)
YB/T 4089-2000(高纯石墨)
操作步骤:
样品准备:将石墨件粉碎至 ≤0.2 mm 颗粒(确保均匀);
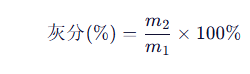
称量:精确称取 1–5 g 样品(m₁),置于已恒重的铂金坩埚或石英坩埚中;
灰化:
在马弗炉中 逐步升温(避免爆燃):
200℃ → 400℃(缓慢氧化有机/碳质);
z终温度:850±25℃ 或 950±25℃(根据标准);
保温 2–4 小时,直至碳完全燃烧,残留物呈灰白色;
冷却称重:干燥器中冷却至室温,称残渣质量(m₂);
计算:

优点:操作简单、成本低、结果直观。
缺点:无法区分具体元素;部分氯化物/碱金属可能挥发导致结果偏低。
2. 酸溶灰分法(针对高纯石墨)
先高温灰化,再用 HF-HCl 混合酸 溶解硅酸盐等难熔物;
适用于灰分 <0.1% 的超高纯石墨(如半导体级);
可结合 ICP-MS 测定具体杂质元素。
来源:网络
NEWS
新闻动态service
行业解决方案